Стрічка новин
Сьогодні
20 Грудня 2025

Тарифи на газ у квітні 2025 року: хто заплатить додатково

газ

У квітні 2025 року деяким українцям надійде третя платіжка за газ, тому доведеться заплатити більше. Водночас, тариф на блакитне паливо не зміниться та для більшості становитиме 7,96 грн за куб. м.

Про це повідомляє профільне видання “ГазПравда”.

Тарифи на газ у квітні 2025 року

Як зазначається, мораторій на підвищення тарифів надалі діє, тому чинні річні пропозиції будуть пролонговані вчетверте з початку повномасштабної війни.

Тариф на газ від постачальників в рамках річних тарифів (з 1 травня 2024 року по 30 квітня 2025-го) у квітні буде коливатися від 7,79 до 9,99 грн. Місячна вартість — від 8,46 до 20,99 грн за кубометр.

З дев’яти постачальників пропонують:

  • п’ятеро — і річну, фіксовану ціну, та змінну місячну;
  • четверо пропонують лише річну ціну.
газ тарифи
Тарифи. Джерело: Газправда

Хто отримає третю платіжку за газ

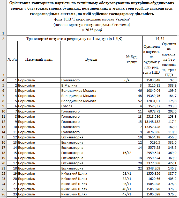
Деякі громадяни заплатять за газ більше через “третю платіжку”, яку надішлють мешканцям багатоквартирних будинків за послугу з технічного обслуговування будівлі.

Вартість послуги залежить від низки чинників, зокрема довжини загальних мереж, кількість муфтових з’єднань та кранів у будівлі. Загальну суму поділять на кількість жителів будинку.

Термін надходження платіжки — один раз на три чи п’ять років:

  • газовим мережам понад 25 років — один раз у три роки;
  • газовим мережам не більше 25 років — один раз у п’ять років.

Для кожного регіону будуть різні ціни за послугу з технічного обслуговування будівлі. Зокрема, київська філія компанії “Газорозподільні мережі України” оприлюднила ціни у 2025 році. Вартість різна, максимально становить близько 900 грн.

газ тарифи
Тарифи. Джерело: Газмережі
газ тарифи
Тарифи. Джерело: Газмережі
газ тарифи
Тарифи. Джерело: Газмережі
газ тарифи
Тарифи. Джерело: Газмережі

Читайте Економічні новини у Google News Підписатися

Залишити коментар:
Subscribe
Notify of
0 Комментарий
Inline Feedbacks
View all comments
Відео
Всі статті